Leave a Message

Thank you for your message. We will be in touch with you shortly.

Explore Our Properties
Background Image

September 2025

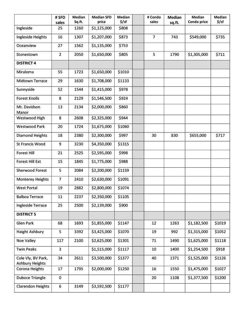
San Francisco House & Condo Markets by Realtor District & Neighborhood

SAN FRANCISCO SEPTEMBER MARKET REPORT

 

  • Mortgage Interest Rates: As of September 2025, the weekly average 30-year conforming-loan interest rate reported by Freddie Mac was 6.5%, its lowest reading since October 2024. Additionally, the daily average rate reported by Mortgage News Daily dropped to 6.28% on September 8, 2025.

  • Median Sales Prices:

    • Houses: The 3-month rolling median house sales price in August 2025 increased by 3% year-over-year but declined from the spring peak.
    • Condos: The 3-month rolling median condo sales price rose by just over 1% year-over-year, reflecting slower appreciation compared to houses.
  • Stock Market Impact: The S&P 500 and Nasdaq indices have seen significant growth since January 2024, with large increases positively influencing affluent real estate markets like San Francisco.

  • Luxury Home Sales: After a summer slowdown, luxury home sales (houses priced $5M+ and condos/co-ops priced $3M+) are expected to rebound in the fall, with seasonal fluctuations being a key trend.

  • Market Dynamics:

    • New Listings: Listing activity typically peaks in September, fueling the fall selling season.
    • Days on Market: In August 2025, houses sold in an average of 34 days, while condos took 73 days.
    • Overbidding: 47% of sales closed over the list price, with houses at 70% and condos at 25%.

 

 
 
 
 
 
 
 
 
 
 
 
 
 
 
 
 
 
 
 
 
 
 
 
 
 
 

Follow Us On Instagram